四探針法是一種簡便的測量電阻率的方法。
四探針法測量電阻率有個非常大的優點:它不需要較準,有時用其它方法測量電阻率時還會使用四探針法較準。

一·四探針法測電阻原理介紹:
不同的材料的電阻有不同的計算公式
★檢測一般的線性材料
我們常常用電阻來表征某一段傳輸電流的能力,其滿足以下關系式:

圖1
其中ρ→材料本身的電阻率,Ⅰ→材料本身的長度,s→材料本身橫截面積
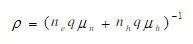
對于某種材料ρ滿足關系式:

圖2
其中ne→電子濃度,nh→空穴濃度,μn→電子遷移率,μh→空穴遷移率,q→基本電荷量
★檢測具有一定導電性能的薄膜材料
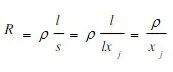
具有一定導電性能的薄膜材料沿著平面方向的電荷傳輸性能一般用方塊電阻來表示,對于邊長為l、厚度為xj方形薄膜,其方塊電阻可表示為:

圖3
即方塊電阻與電阻率ρ成正比,與膜層厚度xj 成反比,而與正方形邊長l無關。
方塊電阻一般采用雙電測電四探針來測量,測量裝置如圖4所示,四根由鎢絲制成的探針等間距地排成直線,彼此相距為s (一般為幾個mm)。
測量時將針尖壓在薄膜樣品的表面上,外面兩根探針通電流Ⅰ(一般選取0.5-2mA ),里面的兩探針用來測量電壓v,通常利用電位差計測量。

圖4 雙電測電四探針測量薄膜方塊電阻結構簡圖
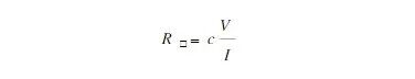
當被測樣品的長度和寬度遠遠大于探針間距,薄膜方塊電阻具體表達式為:

圖5
即薄膜的方塊電阻和外側探針通電流后在內探針處產生的電位差大小有關。
如果樣品的線度相對探針間距大不多時,上式中的系數c必須加以適當的修正,修正值與被測樣品的形狀和大小有關。
C=4.53(樣品長寬 ≥ 40 s,厚度 ≤ 0.4 s,絕緣襯底)
二·四探針法測見問題
Q1:四探針法鉬銅合金電阻率未測出結果?
超出設備測試量程,四探針設備的量程是10-5至105Ω·cm,所以有很多樣品在測試的時候會出現超量程的情況。
Q2:四探針電阻率測試儀跟粉末電阻率測試儀是一樣的嗎?
原理是相同的,但是不是同一個設備,粉末電阻率也是用四探針測試的,只是粉末樣品直接加壓測試,不需要提前壓片。
Q3:四探針測試樣品沒有數據是為什么?
大多數原因是阻值超量程了,導體一般是沒問題的。
Q4:電阻率數值的保留小數位數時,小數位數不一致,是設備默認的么,整數的是否是四舍五入過的呢?
設備預設的改不了,如果對小數位數有要求,需要備注清楚,老師這邊會手動用公式換算保存同樣小數位數,但是個別數據會與儀器計算的有差別。
Q5:四探針電阻率測試,10*12 mm的尺寸可以嗎?(樣品的尺寸要求是什么?)
可以,樣品多大都沒問題。
Q6:粉末電阻率測試方法是什么?
也是四探針法,直接粉末進樣后,自動壓片測試。
四探針法憑借無需校準、操作簡便、適應面廣的優勢,已成為實驗室與生產線快速評價材料導電性能的“標尺”。
未來,隨著薄膜器件、柔性電子與能源材料的微納化,四探針技術也必將向更高動態范圍、更智能修正、更原位表征的方向升級。
同創電子也將與材料科學一同進步,歡迎購買同創電子四探針測試儀!
聯系我們
- 蘇州同創電子有限公司
- 電話:133 8218 2805
- 官網:m.gzmbit.cn




